arri-alexa-mini-lf-camera-cafe-mila-shoot-heiko-knauer-foto-michael-trammer-19

ALEXA Mini LF FAQ

Questions and answers on ALEXA Mini LF

ALEXA Mini LF - Sensor, Recording Formats & Frame Rates

  • We at ARRI believe that for the foreseeable future, the 65 format, the large format and the Super 35 format will peacefully coexist. Each format delivers a special look, is compatible with a certain number of lenses and available at a certain price point. We feel that we have the best cameras in 65 format, in large format and in Super 35 format and we will continue to develop gear for all three formats.

  • The ALEXA Mini LF uses the same sensor as the ALEXA LF. This is the ALEV 3 A2X sensor, which has the same photosite size and type as ARRI Super 35 digital cameras. The ALEV 3 A2X has 4448 x 3096 photosites (yes, it is therefore a 4.5K sensor) and measures 36.70 x 25.54 mm / 1.444 x 1.005" and requires a 44.71 mm / 1.760" image circle.

  • The ALEXA Mini LF supports large-format as well as Super 35 recording formats, please see the table below. 

  • The formats listed below are the four most popular and most requested Super 35 recording formats. They are well established in the industry as a standard for different kinds of productions with spherical and anamorphic lenses. A detailed description of the formats can be found in the Mini LF SUP 7.0 Release Notes.


    • ARRIRAW 3.4K S35 3:2 - 3.4K
    • Apple ProRes 3.2K S35 16:9 - 3.2K
    • Apple ProRes 2.8K S35 4:3 - 2.8K
    • Apple ProRes 2.8K S35 16:9 - HD
  • Since the ALEXA Mini LF now includes Super 35 and large format recording formats, we changed the naming method so each recording format can be clearly identified. The name of the new recording format includes all information you need to know to understand what it is and what it does. Recording formats are sorted in the camera menus by “LF” or “S35” first and then sorted descending starting with the format with the highest horizontal resolution of sensor photosites.

  • These formats are slightly less wide than the full sensor width because that results in a better down-sampling factor for down-sampling to UHD or HD, which results in better image quality in contrast to using the full sensor width.

  • In order to achieve the small form factor of the ALEXA Mini LF in contrast to the ALEXA LF, the sensor board of the Mini LF has been redesigned to use less power. This also means, that there is an upper limit to the maximum frames per second the Mini LF is capable of. Please also see the Formats & Data Rate Calculator for more information on frame rates in our cameras.

  • ALEXA LF and ALEXA Mini LF have different hardware and software architectures, and the maximum frame rate of each recording format is determined by different components. In contrast to the ALEXA LF, the ALEXA Mini LF has an adaptable compression implementation, which can process Apple ProRes at frame rates of 40 to 90 fps, depending on the amount of data that has to be processed for the different recording formats.

  • Yes, the camera down-samples in these formats to reduce the data rate:

    • Apple ProRes 4.3K LF 16:9 - UHD
      4320 x 2430 sensor photosites down-sampled to 3840 x 2160 recorded image pixels
    • Apple ProRes 4.3K LF 16:9 - HD
      4320 x 2430 sensor photosites down-sampled to 1920 x 1080 recorded image pixels
    • Apple ProRes 3.8K LF 16:9 - 2K
      3840 x 2160 sensor photosites down-sampled to 2048 x 1152 recorded image pixels
    • Apple ProRes 3.8K LF 16:9 - HD
      3840 x 2160 sensor photosites down-sampled to 1920 x 1080 recorded image pixels

    The down-sampled recording formats still give you the large-format look, but at a substantially lower data rate.

  • No, ARRIRAW and Open Gate options are included in the ALEXA Mini LF camera and do not require an extra license. There are no licenses required at all for the ALEXA Mini LF.

  • If your goal is to shoot a project with 2x anamorphic lenses and a 2:1 delivery aspect ratio, set the ALEXA Mini LF to 2.8K LF 1:1 – 2.8K in either ARRIRAW or Apple ProRes. All ARRI Master Anamorphic lenses cover this area. This recording resolution contains the same number of photosites as a 4K UHD (3840 x 2160) sensor photo site count and is therefore accepted for productions with a 4K UHD mandate.

ALEXA Mini LF - Camera

  • The simulator and explorer for the ALEXA Mini LF can be found here. To familiarize yourself with the camera body, the viewfinder and their user interfaces, please click on the ‘Explorer’ tab.

  • Yes, as you can see on the Netflix Partner Help Center. Please note that this includes approval for the anamorphic recording options detailed in the ALEXA LF & Anamorphic Lenses white paper and for the LF Open Gate 4.5K, LF 16:9 UHD and LF 2.39:1 4.5K recording resolutions. The Prodicle website also contains links to a new Netflix Camera Production Guide for the ALEXA Mini LF and an updated Netflix Camera Production Guide for the ALEXA LF. These guides were written by us and edited by Netflix. They contain a lot of useful information about the cameras in a very concise form, so feel free to distribute them as you see fit. You can download pdf versions with the DOWNLOAD button in the top right corner.

    Please note that the UHD SDI output of this camera is also approved by Netflix and has already been used in a number of projects.

  • The ALEXA Mini LF (left) has the same dimensions and the same mounting points as the ALEXA Mini (right), except for the media bay on the camera left side. The ALEXA Mini LF camera body with an LPL lens mount weighs 2.6 Kg/5.7 lbs. The ALEXA Mini LF MVF-2 viewfinder weighs 800 g/1.7 lbs.

  • No, since essentially everything inside the Mini LF is different from the ALEXA Mini. An upgrade would be more expensive than buying a new ALEXA Mini LF. However, we offer a trade-in program that allows you to trade in your ALEXA Classic/XT/SXT, ALEXA Mini or AMIRA when purchasing an ALEXA Mini LF. Please note that capacities for trade-in might be limited. Please contact the Certified Pre‑Owned team at cpo@arri.de if you are interested in trade-in programs for ARRI cameras.

  • The ALEXA Mini LF user interface is currently available in English and simplified Chinese.

  • No, the ALEXA Mini LF does not support Broadcast-style cinematic multicam applications like the AMIRA or the ALEXA Mini, since it does not support real-time shading from a Remote Control Panel (RCP). However, for cine-style applications like bullet-time, rear-screen projectors, multi-camera rigs and similar setups, it is possible to sync multiple Mini LFs to each other (via the EXT connector) or to sync Mini LFs to an external source via the new SYNC IN connector that accepts black burst and tri-level sync.

  • The ALEXA Mini LF has two WiFi antennas: one integrated into the camera body in the front right underneath the camera model label and one external stubby antenna above the media bay camera left. The ALEXA Mini LF is CE and FCC approved and all antenna radiation levels are within legal limits. If an operator is still concerned about the second WiFi antenna (the one above the media bay), they can switch it off in the menu. The WiFi range will obviously be more limited in this case. Alternatively, the second antenna can be offset using an SMA cable and the antenna can be placed somewhere else on the camera (preferably high) – which is not a bad idea anyway as that means less interference from the metal of the camera and accessories.

  • Cameras and accessories with SDI connections can be damaged when connecting power cables. If the BNC cable is already connected and an unshielded power cable is plugged in, the plus pin can briefly make contact before the minus pin. The electrical circuit will then be closed through the BNC. This can fry the SDI board in the camera or accessory, even when they are powered down. To avoid this, follow our two safe cable connecting rules:

    1. When connecting cables: FIRST connect power cables, THEN the BNC.
    2. When disconnecting: FIRST disconnect the BNC, THEN power.

    Also helpful is using shielded power cables and avoiding D-Tap connectors.

    If you would like to learn more about this topic, please read the Technical Information - Preventing Damage to SDI Outputs.

  • No, each camera has its own unique features and role to play on set. The ALEXA LF can shoot in LF Open Gate ARRIRAW up to 90 fps, and in LF 2.39:1 4.5K at 150 fps; that is more than twice the maximum frame rate of the ALEXA Mini LF. It is also the ideal camera for assistants with four independent monitoring outputs (3x MON OUTs and 1x viewfinder), multiple accessory power options, built-in wireless video and a dedicated control panel.

    The ALEXA Mini remains an ideal choice for Super 35 productions due to its high framerate ability; we’re not expecting your investment in the most popular camera on set to disappear overnight.

  • We at ARRI believe in Super 35. Not everybody will shoot Large Format/Full Frame. Many productions, in particular in TV, will remain with Super 35 for the foreseeable future. Therefore, we are also working on a dedicated Super 35 4K camera (not LF), further increasing the choices for cinematographers.

    This ARRI S35 4K camera will have a new S35 4K 4:3 sensor and the size of the body will be close to the ALEXA Mini LF. It will be compatible to the MVF-2 viewfinder and will support CODEX Compact Drives which have been introduced with the ALEXA Mini LF.

ALEXA Mini LF - Monitoring and Viewfinder

  • Both SDI outputs carry uncompressed video with embedded audio and metadata. 

    SDI 1:

    - HD only, processed or clean, with or without a look file applied

    - 1.5G 422 HD (SMPTE ST292-1, up to 30 fps), progressive (p) or progressive segmented frame (psf)

    - 3G 422 HD (SMPTE ST425-1, up to 60 fps), p

    - 3G 444 HD (SMPTE ST425-3, up to 30 fps), p


    SDI 2:

    - HD or UHD, clean only, with or without a look file applied, or SDI 1 clone

    - 1.5G 422 HD (SMPTE ST292-1, up to 30 fps), p or psf

    - 3G 422 HD (SMPTE ST425-1, up to 60 fps), p

    - 3G 444 HD (SMPTE ST425-3, up to 30 fps), p

    - 6G 422 UHD (SMPTE ST2081-10, up to 30 fps), p


    SDI 1

    SDI 2

    Configuration

    Fully configured or clean

    Clone of SDI 1 or clean

    Output Resolution

    HD

    HD or UHD

    Image Processing

    Log C, Look
    or ALEXA Classic 709

    Log C or Look

    “Clean” is an image without surround view or overlays (status, false color, zebra, framelines, etc.), “processed” is an image with surround view or overlays.

  • As with all ARRI digital cameras, we have very low latencies, which is important for serious professional work. The image coming out of the SDI outputs and the image in the MVF-2 viewfinder have less than one frame delay. The image in the MVF-2 flip-out display has about one frame delay.

  • The MVF-2 is compatible with the ALEXA Mini LF and future ARRI digital cameras. It is not backwards compatible with existing cameras, since it has an entirely different cable connection to the camera (labeled "VF"). The existing viewfinders EVF-1, EVF-2 and MVF-1 are not compatible with ALEXA Mini LF.

  • To familiarize yourself with the user interfaces on the MVF-2, please check out the ‘Explorer’ functionality in the ALEXA Mini LF camera simulator.

  • We noticed that crew like to tape critical information, like the lens' close focus distance or the names of actors and characters, to the side of our cameras. On the MVF-2 there is an empty space (see red circle) with a slot for a business size card. The camera will come with a card illustrating the false color system on one side and ARRI Signature Prime information on the other. Templates for making your own (DIN A-4 and US Letter/8.5 x 11) are available from the DOWNLOAD section of the ALEXA Mini LF webpage.

  • After almost a decade of the ALEXA user interface we are presenting an improved fresh look and better functionality with the ALEXA Mini LF. The camera's HOME screen and menus can be accessed through the flip out monitor on the MVF-2 viewfinder, which is larger and has a higher resolution than all previous menu displays on ARRI cameras.

    • Important settings can be quickly seen on the clearly structured new home screen
    • The location of a menu can be easily seen through overlapping menu levels
    • Expanded and improved notifications and alerts
    • Easier and faster text entry and list selection
  • The built-in eyepiece heater of the MVF-2 viewfinder only becomes active when it is turned ON and the eyepiece has a temperature of 15 °C (59 °F) or below. This is to avoid excessive power drain.

ALEXA Mini LF - Power

ALEXA Mini LF - Accessories and Remote Control

  • Please take a look at our configuration overviews webpage to download the ‘ALEXA Mini LF & Electronic Accessories’ and ‘ALEXA Mini LF & Mechanical Accessories’ documents. Configuration overviews for nearly all ARRI products can be found on that webpage.

  • Since the ALEXA Mini LF has the same size and the same mounting points as the ALEXA Mini, almost all mechanical ALEXA Mini accessories will fit. There are three exceptions:

    • Mini Side Bracket MSB-3: While the MSB-1 and MSB-2 still fit on the ALEXA Mini LF right side, they do not fit on the ALEXA Mini LF left side because of the new media bay. Use the new MSB-3 instead, which fits the Mini LF and the Mini on the left side and which offers extra mounting points.
    • Clamp 2 for RAB-1: In addition to updated mechanics and a new safety release, Clamp 2 moves battery adapters a small distance to the left in order to make room for the second row of ALEXA Mini LF connectors. Clamp 2 also works well on ALEXA Mini.
    • Vertical Top Plate for ALEXA Mini LF: This new top plate is part of the Vertical Adapter Set for ALEXA Mini LF, which allows 9:16 portrait filming—a growing demand in the fields of commercials and visual effects. Configurations can be built to allow quick changes between classic landscape and portrait image capture.
  • Yes, the Mini LF has an LBUS connector on the LPL lens mount that supports all ARRI LBUS accessories.

  • The ALEXA Mini LF can be remotely controlled in a variety of ways:

    • The ARRI Camera Companion App offers remote control of one or more cameras, with a focus on functions that are most frequently needed during production. Find out more.
    • The Wireless Compact Unit WCU‑4 is a sophisticated, feature-rich and user-friendly 3-axis hand unit for wireless remote lens and camera control. It includes an integrated lens data display and offers extended ALEXA camera control.
    • The Single Axis Unit SXU-1 controls a single lens axis. On set the SXU-1 perfectly complements the 3-axis WCU‑4 as a separate iris control unit, or it can be used on its own, offering a low-cost option to productions that do not need multi-axis wireless lens control.
    • By connecting the Multi Viewfinder MVF-2 with a 10 m/33 ft VF cable to the ALEXA Mini LF, the viewfinder becomes a handy remote control for all camera functions as well as a monitor for the live image the camera is capturing.
    • The ALEXA Mini LF can be controlled wirelessly (over WiFi) or by cable (ETH connector) from a computer, tablet or smart phone running a web browser with the web remote. Please note that the ALEXA Mini LF web remote capabilities are in the beta test stage as of Mini LF SUP 7.0.
    • The Operator Control Unit OCU‑1 is an addition to the WCU‑4 lens control system on ALEXA Mini, ALEXA LF and ALEXA Mini LF that connects to the camera via an LBUS cable. The OCU‑1 enables operators to over-ride and return focus, iris, and zoom controls at the touch of a button.
    • The Master Grips combine effective camera stabilization with comprehensive lens and camera control. They connect to the camera via LBUS cables.
    • The General Purpose IO Box GBP-1 is a break-out box that works with ALEXA Mini, ALEXA Mini LF and AMIRA. It allows users to build custom button interfaces and electronic controls. The box can be connected to the camera EXT port which it also replicates. It provides protected input channels that can be flexibly mapped to various functions.
  • When using WiFi and White Radio simultaneously it is important to configure the used channels to avoid interference and guarantee optimal performance. The table below gives you an overview of suitable channel configurations. For further information, please refer to the camera manual.

  • Yes, the ALEXA Mini LF supports WiFi client mode and host mode.

    When in client mode, the camera allows you to join networks with WPA2 encryption or without encryption.

    When in host mode, the camera acts as an WiFi access point and uses WPA2 encryption. The SSID of the camera is "Mini-LF-Serial#", where SERIAL# is the five digit serial number of the camera.

    Further information regarding the setup can be found in the camera manual.

  • Connect the LBUS connector of the ALEXA Mini LF to the LCUBE CUB-1 with an LBUS to LBUS cable, and the CUB-1 to the UDM‑1 (Ultrasonic Distance Measure) with an SERIAL to UDM cable. The CUB-1 (pictured below with attachment bracket) is a miniature converter box converting the LBUS protocol to serial protocols and vice versa.

  • In order to provide this functionality, the LBUS connector of the ALEXA Mini LF must be connected to the LCUBE CUB-1 with an LBUS to LBUS cable, and the CUB-1 must be connected to the CineRT. ARRI does not offer a cable from the CUB-1 to the CineRT but it is available at Focusbug.

ALEXA Mini LF - Recording Media

  • The ALEXA  Mini LF uses the new, small and cost-effective Codex Compact Drive 1 TB and 2 TB. 
    The Compact Drive has been specifically designed for the small form factor of our cameras, using new flash technology in a miniaturized tough enclosure. The ALEXA  Mini LF accepts Compact Drives directly, without the need for an adapter. ALEXA  LF and ALEXA SXT  W do not support the Compact Drive. 
    Both ARRIRAW and Apple ProRes recording can utilize the drive's full recording capacity. The drive will be formatted by the ALEXA  Mini LF in the UDF format for ARRIRAW and Apple ProRes. Therefore, both ARRIRAW and Apple ProRes can be recorded onto the same media without reformatting or switching drives.
    To get an overview of recording media for ARRI cameras, please take a look at the Supported Recording Media document.

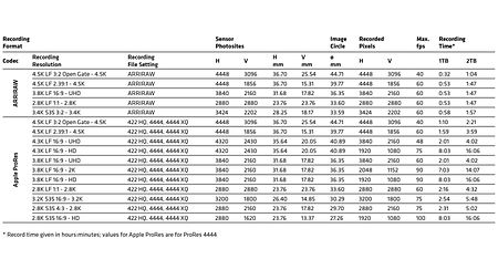
  • Please see the table below. To get more information, please use the ARRI Formats and Data Rate Calculator.

  • There are two options for downloading data from the Compact Drive.

    • The Compact Drive Reader (USB-C) is an affordable reader that works with MacOS, Windows and Linux without extra software or licenses. Use your preferred data management application to copy data from the drives. To add HDE capability, use the free-of-charge and license-free Codex Device Manager software. The Compact Drive Reader offers download speeds of up to 8 Gb/s. The Compact Drive Reader uses the USB 3.1 Gen 2 interface (backwards compatible) and is powered via the USB-C connector. Multiple Compact Drive Readers can be stacked on top of each other and are held together magnetically.
    • For MacOS users, the Compact Drive Adapter accepts the Compact Drive and fits in all SXR Capture Drive Docks (Thunderbolt 2 or 3). The Compact Drive Adapter maximizes download speed for Compact Drives up to 10 Gb/s with Thunderbolt 2 and 20 Gb/s with Thunderbolt 3. The host computer must have the free-of-charge Codex Device Manager software installed, which will also provide HDE capabilities.
  • Please make sure you are using a 10 Gbit/s USB port and that the cable is first connected to the reader and then to the computer. If you connect the cable without reader first, the USB power management on the Mac will step down the power output and you get poor speeds.

    Please see the table below for the transfer speed you should be getting.

    Status

    Host Power

    Max. Data Rate

    Blue

    3.0 A

    1000 MByte/s or 8 Gbit/s

    Green

    1.5 A

    550 MByte/s or 4 Gbit/s

    Amber

    0.9 A

    180 MByte/s or 1.5 Gbit/s


  • We do not recommend using tape on any sides of the Codex Compact Drive, since the residue will prevent proper thermal connection to the camera.

  • No. While the Compact Drive Adapter will fit physically into an ALEXA  LF or ALEXA SXT, the cameras do not support the Compact Drives. The new Compact Drives use a new software interface (NVMe), which is not supported by ALEXA  LF and SXT. However, NVMe is supported by MacOS and Windows, which is why the Compact Drive Adapter can be used in a Capture Drive Dock for downloading.

ALEXA Mini LF - Workflow

  • The ALEXA Mini LF has a higher data rate as the ALEXA Mini, since it has a sensor which is twice as big as the Mini’s sensor. There are two steps you can take to reduce that data rate.

    First, shoot LF 16:9 (3840 x 2160) or LF 2.39:1 (4448 x 1856) instead of LF Open Gate (4448 x 3096). Those are still Netflix approved and have a lower data rates than LF Open Gate. An added bonus is that LF 16:9 is covered by many Super 35 lenses (check it out in the Frame Line and Lens Illumination Tool).

    Second you can use Codex HDE (High Density Encoding) with ARRIRAW. HDE reduces the amount of ARRIRAW by about 40% during the download process. That puts ARRIRAW plus HDE right between the data rate of Apple ProRes 4444 XQ and Apple ProRes 4444. All you need to use HDE is the free of charge and license free Codex Device Manager 5.0. To learn more about High Density Encoding, have a look at our ARRIRAW FAQ and set the filter option to “HDE / High Density Encoding”.

  • To learn more about High Density Encoding, have a look at our ARRIRAW FAQ and set the filter option to “HDE / High Density Encoding”.

  • We are switching all recording formats to the MXF (Material eXchange Format) container, since MXF is an open standard that is widely supported and allows for more flexible access to metadata. Using the same container also allows us to record ARRIRAW and Apple ProRes to the same drive without reformatting. Apple is supporting MXF/Apple ProRes and they have published the "SMPTE RDD 44: Mapping of ProRes into MXF". ARRI cameras that currently support QuickTime/Apple ProRes will continue to use QuickTime.

  • Apple already has an MXF plug-in available for MacOS X 10.14.3 or later that you can download as part of Apple's "Pro Video Formats 2.1". This allows the MacOS QuickTime Player, FCPX, Motion, Compressor, VLC and ARRI Color Tool to play MXF/Apple ProRes, with many more in the works. On Windows machines you can currently use the ARRI Color Tool or VLC, with other programs in preparation.

    The document ALEXA Mini LF Supporting Tools & Software Overview shows a list of all professional programs that support MXF/Apple ProRes. Please note, that many other tools also support MXF/Apple ProRes.

  • Yes, this is possible in Resolve. It should also work on other post software that can read MXF/Apple ProRes.

  • We have prepared sample footage of all of our cameras that can be found on our sample footage website. You can also find ARRIRAW-HDE sample clips for download.

  • The ALEXA Mini LF allows recording in ARRIRAW and Apple ProRes Log C. It is not possible to record a baked-in look, as that would use too much processing power. However, the whole ARRI Look Management system works, so you can preview a look on the SDI outputs and on the viewfinder. The look will be stored in metadata and can be applied automatically for dailies, during editing and during color grading.

  • No, the ALEXA Mini LF does not support the ARRI Look Library, as that would use too much processing power.

  • Export laws dictate that for sensors made up of more than a certain number of photo sites, we cannot record positional information like tilt and roll, lest the camera be classified as military equipment. This rule looks at the total number of photosites on the sensor and does not concern itself with individual recording formats that may record fewer photosites. While the photo site count of the Super 35 ALEXA, ALEXA Mini and AMIRA cameras falls below this boundary, the ALEXA LF and ALEXA Mini LF are above it. However, we can display the tilt and roll information as well as the digital bubble level.

  • The sensor calibration performed by the ARRI factory and ARRI service centers maps the sensor’s response to light for proper sensitivity, brightness and dynamic range for all color channels, red, green and blue. This is an absolute necessity in order to create a stable and reproducible image coming from a digital sensor. During operation, the sensors of all digital ARRI cameras are temperature controlled to ensure the image quality stays the same at all operational conditions.

    Despite this, minute differences in color reproduction between the cameras are still possible. However, these can be easily compensated with the “cc” white balance control of the cameras on-set, or through small adjustments during color correction in post.

ALEXA Mini LF - Optics and Lens Mounts

  • Yes, the ALEXA Mini LF has internal, motorized FSND filters like the ALEXA Mini. However, the filters inside the ALEXA Mini LF are larger to cover the large format sensor, and the densities are: clear, ND 0.6, ND 1.2 and ND 1.8 (the Mini has ND 2.1 as the highest density). We chose 0.6, 1.2 and 1.8 since we had a lot of cinematographers request it and it is a difference of 2 stops between each filter and that is much easier to calculate on set.

  • FSND stands for "Full Spectrum Neutral Density". These are filters that are significantly better than traditional ND filters, since they affect an attenuation over the entire visible and near-visible spectrum (therefore "Full Spectrum"). This means there are no color shifts, even at higher densities. Because of their unique anti-reflective coating, ARRI FSND filters allow a very high contrast from the scene to pass through to the sensor for best HDR capture.

  • The ALEXA  Mini LF has the same interface between the camera and the lens mount as the ALEXA 35, ALEXA  Mini and AMIRA. Therefore, physically, all lens mounts that fit on ALEXA 35, ALEXA  Mini or AMIRA will also fit on ALEXA  Mini LF. However, some of these lens mounts make little sense on the ALEXA Mini LF because they will show strong vignetting. We currently recommend using the following lens mounts with ALEXA  Mini LF: 

    • The ARRI LPL Mount (LBUS) (that is attached to the ALEXA  Mini LF in the image below) is the ideal mount for all LPL lenses, and with the PL-to-LPL Adapter (floating in front of the camera in the image below) it can also accept all PL mount lenses, be they Super  35 or large format. The ARRI LPL Mount (LBUS) supports LDS-2 and /i lens metadata, and the PL-to-LPL Adapter supports LDS-1 and /i.
    • The ARRI PL Mount (LBUS) (K2.0042651) accepts PL lenses and features an LBUS connector. Reduced internal reflection properties ensure that the full contrast of the image from the lens reaches the sensor. 
    • The ARRI PL Mount (Hirose) (K2.0042652) accepts PL lenses and features a Hirose connector. Reduced internal reflection properties ensure that the full contrast of the image from the lens reaches the sensor. 
    • The ARRI EF Mount (LBUS) (K2.0019965) accepts EF mount cine-style or still photo lenses and the wider light baffle works with Super 35 and large format sensors. This mount is compatible with the ALEXA  Mini LF and the ALEXA  Mini and supports electronic communication and control of many lenses.
    • The LEITZ M-MOUNT for Leica M 0.8 lenses works with the ALEXA  Mini LF and is available directly from Leitz.
    • Panavision has created PV and PV70 lens mounts for the ALEXA  Mini LF. 
    • Vantage has created an XPL52 lens mount for the ALEXA  Mini LF. 

    Here some notes on other lens mounts: 

    • The Titanium PL LDS mount with LBUS (K2.0003216) from the ALEXA  Mini was designed for Super  35 only. Since the combination of LPL lens mount and PL-to-LPL Adapter shows less vignetting than using the Mini PL lens mount, we recommend against using the Mini PL lens mount on the ALEXA  Mini LF. 
    • The EF Lens Mount (K2.0001103) was designed for Super  35 only. While it could be attached to the ALEXA  Mini LF, large format lenses may vignette. We recommend using the new ARRI EF Mount (LBUS) (K2.0019965) on the ALEXA Mini LF, which also supports the use of lens motors and LBUS devices.
  • The new ARRI EF Mount (LBUS) (K2.0019965) was designed for Super 35 and large format. It is mechanically compatible with the ALEXA Mini and ALEXA Mini LF. Due to the wide light baffle, large format EF Mount lenses will not vignette. The LBUS connector allows connecting any LBUS device and frees up the EXT connector on the camera.

    The old EF Lens Mount (K2.0001103) was designed for Super 35 recording resolutions. It is mechanically compatible with the ALEXA Mini, AMIRA and ALEXA Mini LF, but vignetting may be visible on the ALEXA Mini LF when using large format EF Mount lenses. Please note, that the amount of vignetting is based on the optical lens design, the focal length and the aperture, and therefore, we cannot provide information as to which lens will vignette how much. If you want to find out how much a given lens vignettes, we recommend shooting a test.

    The image below shows the new ARRI EF Mount (LBUS) on the left and the old EF Lens Mount on the right side.

ALEXA Mini LF - Audio

  • The ALEXA Mini LF has a 6-pin AUDIO connector, that is one pin more than the ALEXA Mini AUDIO connector. This allows the Mini LF AUDIO connector to provide 12V accessory power to external pre-amplifiers or wireless audio receivers. Those accessories can now use just one cable to transport audio and power, leaving the other accessory power outputs on the camera available for other uses.

  • The ALEXA Mini LF can record four channels of linear PCM (24 bit, 48 kHz) audio. Channels 1 and 2 are always the analog LINE IN from the AUDIO connector, and channel 3 and 4 are always the two internal microphones (when turned on; they are off by default). With audio recording enabled, all four audio channels are embedded in the SDI stream and all four audio channels are output on the headphones-out connector of the MVF-2.

  • Audio (both from the AUDIO-in connector and from the internal microphones) can be recorded only at the project frame rates and when the sensor frame rate equals the project frame rate. ALEXA Mini LF project frame rates are: 23.976 fps, 24 fps, 25 fps, 29.97 fps, 30 fps, 48 fps, 50 fps, 59.94 fps and 60 fps.

  • The internal microphones can be used to record a reference track, sometimes also referred to as "scratch track". Some software tools can synchronize the master audio to the image using the reference track.

  • The audio recording level of the internal microphones is fixed, with the left microphone (channel 3) using a +18dB higher gain than the right microphone (channel 4) in order to cover a wider range of audio levels.

  • The entire ALEXA Mini LF is spray and dust-proof. The two microphones in the front are protected by Gore-Tex membranes that let sound in but protect from water ingression.